오늘의 포스팅은, 동적계획 알고리즘을 이용한 연속된 행렬곱셈이다.
문제
n개의 연속된 행렬곱셈 M = M1M2M3...Mn에서 스칼라 곱셈 횟수가 최소가 되는 곱셈 순서를 찾는 알고리즘
💡행렬곱셈의 원칙
- 행렬곱셈 C = AB 의 기본적인 요건은 A의 열의 개수와 B의 행의 개수가 같음
- A(p x r) x B(r x q) = C(p x q)
- 스칼라 곱셈은 모두 ( p x r x q ) 번
무작위 기법
- 모든 행렬 곱셈 순서를 구하여, 각각의 스칼라 곱셈 횟수를 계산하여 비교
- Xn = (n개의 행렬을 곱하는 가능한 모든 곱셈 순서의 수) 라면,
- Xn은 다음의 세경우의 수를 합한 것
- M1을 가장 나중에 곱하는 경우의 수 = M1(M2M3...Mn)의 순서로 곱 = M2M3...Mn을 곱하는 경우의 수 = X(n-1)
- Mn을 가장 나중에 곱하는 경우의 수 = (M1M2M3...M(n-1))Mn의 순서로 곱 = M1M2...M(n-1)을 곱하는 경우의 수 = X(n-1)
- 나머지 모든 경우의 수 = a x {(M1M2)(M3...M(n-1)Mn), ...., ....}
- 따라서
- Xn = X(n-1) + X(n-1) + a
- Xn >= 2X(n-1) >= 2^2X(n-2) >= 2^3X(n-3) >= ... >= 2^(n-2)X(2) (두 행렬을 곱하는 가짓수 X(2) = 1)
- Xn = 2^(n-1)
- 지수 경우의 수로 굉장히 많음..!
💡최적 부분 구조 : 부문제의 최적해가 더 큰 문제의 최적해를 구하는데 사용될 수 있는지 알아보자
- 이전에 2~3개의 적은 수의 행렬의 곱의 최적 순서가 다음 상위 여러개의 행렬의 곱의 최적 순서에 영향을 미친다
- 하위 문제에서의 최적순서(해)를 저장하여 다음 상위 문제에서의 최적순서(해)를 구할 때 사용한다.
- 행렬의 수가 많은 곱은 작은 행렬들의 곱으로 이루어져있다 -> 부분문제들이 겹쳐져있다.
- 따라서 연속된 행렬 곱셈 문제는 최적 부분 구조를 갖는다.
💡순환적 정의
- 최종 목표 : n개의 연속된 행렬 M1M2...Mn에 대한 최적 곱셈 순서
- 최우선 목표 : M1M2M3...Mn에 대한 최소의 스칼라 곱셈 횟수
- ci = 행렬 Mi의 열의 수,
- Mi와 인접한 M(i+1)의 행의 수 = ci (M1의 행의 수 = c0)
- Mi는 c(i-1) x ci 행렬
- 행렬곱셈 MiMi+1...Mj-1Mj의 결과는 어떤 순서로 곱해도 c(i-1)xcj 행렬
- ci = 행렬 Mi의 열의 수,
- 순환구조! 행렬의 곱셈에서는 교환 법칙이 성립하지 않으므로, 인접한 행렬끼리 곱해야함. 따라서,
- 일반화 : n개의 연속된 행렬곱셈 MiM(i+1)...M(j-1)Mj에서의 최소의 스칼라 곱셈 횟수 = 다음의 j-i개의 경우 최소의 스칼라 곱셈 횟수 (괄호안의 행렬 곱셈도 최적의 순서로 곱해야 함)
- (Mi) (Mi+1Mi+2...Mj-1Mj) -> c(i-1)xci 행렬과 ci x cj 행렬의 곱
- (MiMi+1) (Mi+2Mi+3...Mj-1Mj) -> C(i-1)xc(i+1) 행렬과 c(i+1)xcj행렬의 곱
- ...
- (Mi...Mj-1)Mj -> c(i-1)xc(j-1)행렬과 c(j-1)xcj 행렬의 곱
💡최소 스칼라 곱셈 횟수 S(i,j) 정리

➰중첩된 부문제와 분할 정복
- 연속된 행렬 곱셈 문제는 중첩된 부분제 특성을 가짐
- Ω(2^n)
-
int mat_chain_X_DC(int C[], int i, int j){ int min = 무한, k, s; if (i==j) return 0; for( k=i;k<=j-1;k++ ){ s = mat_chain_X_DC(C,i,k) + mat_chain_X_DC(C,k+1, j) + C[i-1]*C[k]*C[j]; if(s<min) min = s; } return min; }
💡동적 계획법
- 최우선 목표 : n개의 연속된 행렬 곱셈 M1M2....Mn에 대한 최소 스칼라 곱셈 횟수 S(1,n)을 계산하는 것
- 부문제의 최적해 S(i,j)을 저장하기 위해서는 2차원 배열이 필요
- 2차원 배열의 원소 S[i][j]에 S(i,j)의 값을 저장하고 필요할 때마다 재사용
- 가정 : 1차원 배열의 원소 C[k]에는 행렬 Mk의 열의 수를 저장
- 열의 수를 기준으로 scala 곱셈의 연산과 Matrix크기를 정의했음!
- 따라서 2차원 배열에 저장될 값들은 다음과 같이 정의

- 배열 S에는 최소 스칼라 곱셈 횟수만 저장될 뿐!
- 최종 목표인 최적 곱셈 순서에 관한 어떤 정보도 없음 -> 최소 스칼라 곱셈 횟수에 대한 곱셈 순서를 기억할 배열이 필요
- S[i][j] 의 값을 최소로 만든 k를 배열 T[i][j]에 저장
- Mi...Mj의 스칼라 곱셈 횟수가 최소인 경우가 (Mi...Mk)(Mk+1...Mj)라면 T[i][j]=k로 지정
- T[1][n]부터 거꾸로 조사해 내려가면 곱셈 순서를 알아낼 수 있음




💡알고리즘
- 대각선
- 각 대각선 별로 채워야 하는 원소의 수

- 위의 모든 S[i][j]를 보면, i와 j는 항상 대각선 d(=j-i)만큼 차이
💡의사코드 (동적계획법)
int mat_chain_X_DP(int C[], int n){
int S[MAX][MAX], T[MAX][MAX];
int d,i,j,k;
for(i=1;i<=n;i++) S[i][j]=T[i][j]=0; //배열 S와 T의 대각선 0의 원소들을 0 초기화
for(d=1;d<=n-1;d++) //대각선 수-1 만큼 반복 : n-1개 -> 대각선 1부터 대각선 n-1까지 채워나감
for(i=1;i<=n-d;i++){ //한 대각선 원소의 수만큼 반복, i가 1씩 증가하므로, j=i+d (d=j-i)로 정해주면 S[i][j]위치가 정확히 결정됨.
j=i+d;
S[i][j] = 무한대;
// S[i][j]순환 정의에 따라, j-i개의 경우를 대상으로 최소 곱셈횟수와 최적 분할점을 구함.
for(k=i;k<=j-1;k++){
if(S[i][k]+S[k+1][j]+C[i-1]*C[k]*C[j] < S[i][j]){
S[i][j] = S[i][k]+S[k+1][j] + C[i-1]*C[k]*C[j];
T[i][j] = k;
}
}
}
return S[1][n];
}
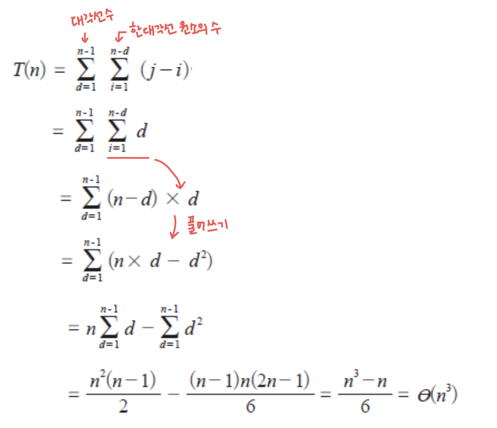
⏰복잡도
- 복잡도를 결정하는 부분은 위의 의사코드의 가장 내부의 for문이다.

➕연속된 행렬 최적의 곱셈 순서 구하기 (의사코드)
void optimal_order(int T[][MAX], int i, int j){
if(i==j) printf("M%d", i);
else{
printf("(");
optimal_order(T,i,T[i][j]);
optimal_order(T,T[i][j]+1,j);
printf(")");
}
}
Reference
- 서울과학기술대학교 컴퓨터공학과 알고리즘 수업
- 알기쉬운 알고리즘 도서
'Algorithm' 카테고리의 다른 글
| [Algorithm] 배낭(Knapsack) 문제 : 동적계획 알고리즘 (0) | 2021.11.10 |
|---|---|
| [Algorithm] 편집 거리 문제 : 동적계획알고리즘 (0) | 2021.11.10 |
| [Algorithm] 모든 쌍 최단 경로 | Floyd-Warshall Algorithm (0) | 2021.10.20 |
| [Algorithm] 동적 계획 알고리즘 (0) | 2021.10.20 |
| [Algorithm] 허프만 압축 (0) | 2021.10.13 |